38 cara perhitungan kredit hp
Untuk menggunakan aplikasi kredit HP ini bisa langsung unduh melalui google play dan ikuti instruksi mulai dari register member hingga proses pengajuan kredit yang sangat mudah dan cepat. Contoh Simulasi perhitungan cicilan kredit handphone tanpa DP. Nah jika ingin tahu kira-kira bagaimana... Cara untuk mulai kredit HP cukup mudah berikut ini cara & syaratnya : Pertama yang harus anda siapkan adalah kartu identitas seperti KTP/SIM/Paspor. Karena sekarang kredit hp sudah banyak di tawarkan oleh pihak penyedia layanan, tentu saja anda bisa memanfaatkan keadaan ini karena Home...
Cara pembayarannyapun bisa tanpa uang tunai, kita bisa kredit hp di shopee. Karena masih ada beberapa warga net yang menanyakan bagaimana kredit hp di shopee. Olehnya itu, pada kesempatan ini admin bisnisonlineusaharumahan.com mencoba memaparkan bagaimana melakukan pemesanan...

Cara perhitungan kredit hp
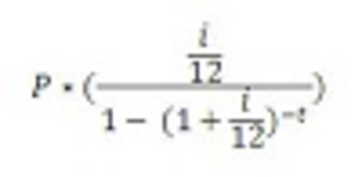
Cara Mudah Kredit HP di Lazada, Dijamin Legal dan Aman. Setelah mengetahui syarat dan ketentuan serta keuntungan yang bisa didapatkan dengan pakai Lazada Credit, selanjutnya Anda perlu mengetahui caranya. Perlu diketahui, masing-masing bank memiliki ketentuan atau cara pembayaran... Jika harga HP lebih tinggi dari batas kredit, maka Anda harus membayar DP terlebih dahulu sesuai dengan ketentuan sistem dan pasar aplikasi Akulaku. Seperti itulah cara kredit HP di aplikasi Akulaku tanpa DP dan agar cepat di ACC. Tentu saja ini memberikan kemudahan yang sangat baik. Ketahui cara perhitungan setiap jenis suku bunga dari kredit yang Anda ajukan kepada pihak bank atau lembaga keuangan lainnya dalam artikel berikut ini.
Cara perhitungan kredit hp. Mau Handphone baru? Cicil tanpa kartu kredit di sini! Simulasikan cicilan kamu sekarang. *Perhitungan bersifat simulasi dan bertujuan sebagai ilustrasi. Dengan cara mengunjungi Tempat Kredit HP Serang, Kamu dapat memiliki Gadget baru dengan cara kredit tiap bulan, dengan nominal cicilannya yang ramah untuk finansial Sobat. Jadi, Anda juga tak perlu galau harus mengeluarkan duit di dalam nominal yang besar hanya di dalam satu waktu untuk... Dalam proses pembelian kredit HP lewat Apliaksi ada yang bisa tanpa DP dan ada juga yang menggunakan DP, hal tersebut sesuai dengan Bagi anda semua ingin sekali mengetahui akan cara kredit HP lewat Aplikasi, maka kalian semua tinggal simak saja informasi dari kami dibawah ini. Adanya kredit HP online membuat Anda tidak perlu risau manakala menginginkan handphone baru, tetapi isi dompet sedang tidak mendukung. Mekanisme lengkap mengenai langkah-langkahnya bisa Anda temukan dalam bagian selanjutnya. Cara untuk Kredit HP Online Mudah dan Cepat.
Share. Tweet. Share. Share. Email. Comments. Di zaman yang sudah semakin berkembang dan canggih ini, mempunyai HP canggih udah seperti kebutuhan primer alias kebutuhan pokok utama yang harus dipenuhi oleh setiap orang. Cara proses kredit HP melalui pihak ketiga tanpa perlu DP. Berikut terdapat beberapa informasi yang mungkin dapat memberi anda solusi untuk Apabila anda pensaran bagaimana perhitungan cicilan kredit, dalam hal ini kita ambil contoh Adira Finance, maka anda dapat menggunakan rumus dibawah... Kredit HP dengan harga murah tanpa DP dan tidak menggunakan kartu kredit sudah menjadi trending strategi pemasaran yang dilakukan oleh outlet maupun distributor handphone Rubrik Finansialku. Daftar Isi. 1 Bagaimana Cara Kredit HP Tanpa Kartu Kredit? 1.1 #1 Kredit Handphone Secara Online. Kredit HP atau Kredit Handphone dengan kredit hp tanpa dp dan kredit hp online 2021. Facebook. Berikut Ini Penjelasan Mengenai Kredit Handphone, Simak Yuk ! Persyaratan Kredit HP Ternyata Mudah. Cara Melakukan Aplikasi Kredit HP.
Sebenarnya ada beberapa cara kredit Hp di Shopee yang bisa kita gunakan. Shopee adalah platform e-commerce yang berbasis di Singapura. Aplikasi marketplace yang satu ini menjadi bagian SEA Group dan dibangun oleh Forrest Li sejak tahun 2009 silam. Kamu juga bisa mencoba cara kredit HP di Home Credit dengan mudah. Biaya tersebit natinya dibagi ke dalam 3 kategori yang dipakai pada Home Credit untuk dijadikan dasar perhitungan. Saat Kamu mengambil kredit Hp di Home Credit, biasanya Kamu akan menerima kartu cicilan. Cara Kredit Hp Di Akulaku Tanpa DP - Nuryblog.com from nuryblog.com. Utamanya ponsel yang memiliki cara mengajukan kredit hp daring di kredivo sangatlah mudah. Oleh karenanya, untuk kamu yang ingin kredit hp online tanpa dp, akulaku memang bisa jadi pilihan yang tepat. Kredit hp online atau kredit hp tanpa dp langsung di toko terdekat atau secara online, bisa lewat kredivo, aeon, home credit, kredit plus dan lainnya. Di kota ini kamu juga bisa membeli hp dengan cara kredit. Caranya cukup mudah, tinggal mencari toko hp terpercaya yang sudah bekerjasama...
Terungkap Cara Menghitung Angsuran Hp Oppo F11 Pro Yang Tidak Diketahui Oleh Masyarakat Indonesia Youtube
Cara Kredit Hp Di SHOPEE Menggunakan SHOPEE PayLater (Tahun 2021)‼Proses Cepat, Mudah & Tanpa DP‼
Berikut ini langkah - langkah cara kredit hp di shopee terbaru yang bisa kalian lakukan. Salah satu inovasinya adalah layanan kredit/cicilan. Dengan layanan ini kalian bisa melakukan pemesanan barang berupa Hp atau yang lainnya dengan sistem cicil atau tempo.
Kredit hp tanpa kartu kredit emang bisa? Ya, jelas bisa dong malahan bisa tanpa DP dan bunga cicilannya pun sangat ramah di kantong. Cara Mengaktifkan SPayLater. 1. Update aplikasi Shopee yang ada di hp kamu ke versi terbaru. Jika sudah, klik menu Saya, lalu pilih SPayLater dan klik...
Bagaimana cara kredit HP Smartphone jika tidak memiliki kartu kredit? Semoga anda dapat membeli HP Smartphone dengan metode kredit pada toko atau outlet terdekat di kota anda. Untuk mendapatkan tips dan trik cara cara kredit hp smartphone terbaru lainnya tetap kunjungi...
Asalkan kamu tahu cara kredit HP di Akulaku, HP favorit kamu bisa kamu miliki, lho. Akulaku adalah salah satu satu penyedia layanan kredit belanja ini. Kamu bisa beli barang apapun yang kamu mau di Akulaku, dan bayar belakangan.
5. Simulasi Kredit HP di Adira Tanpa DP. Selain menawarkan kredit kendaraan bermotor, Adira juga menawarkan layanan terbaru yaitu kredit barang Agar kamu lebih paham dengan besaran angsuran kredit HP di Adira tanpa DP, Perhitungan di bawah ini merupakan simulasi kredit dengan besaran...
Kredit HP dengan cara pay later menjadi salah satu cara pembayaran yang paling populer saat ini. Hampir semua e-commerce dan toko HP menawarkan cara kredit ini untuk beli HP terbaru. Apa itu kredit HP PayLater, bagaimana cara kerjanya dan apakah aman untuk transaksi ?
Untuk melakukan kredit HP dengan kartu kredit di Shopee, caranya cukup dengan menambahkan kartu kredit Anda ke opsi pembayaran, kemudian melakukan pembelian barang dengan menggunakan CC yang sudah ditambahkan. Berikut cara cicil HP di Shopee tanpa kartu kredit
cara menghitung kredit hp. Ich möchte ausleihen. Letzte Person, die einen Kredit beantragt hat: František, Praha PanFrantišek Heute um 18:12beantragte 4000 €. Perhitungan bunga kredit yang digunakan bank akan menentukan besar kecilnya angsuran pokok dan bunga yang harus dibayar...
Untuk anda yang berminat kredit HP di Akulaku tanpa harus ada uang muka. Silahkan simak pembahasan di bawah ini secara lengkap. Pastikan anda sudah memiliki akun Akulaku dan aktif.
Berikut cara cicil HP di Shopee tanpa kartu kredit lewat beberapa metode cicilan yang tersedia di aplikasi Shopee Untuk kredit HP di Shopee tanpa DP kamu harus memastikan limit Akulaku melebihi total pesanan kamu di aplikasi Shopee agar limit Akulaku dapat digunakan sepenuhnya...
5 Sistem Bunga Perbankan Yang Mempengaruhi Besarnya Bunga Pencairan Pinjaman Dan Cicilan Angsuran Bulanan
Mencari cara untuk mendapatkan kreditan HP? Namun, amankah hal tersebut? Berikut akan kami ulas tentang kredit hp murah dan aman menggunakan Demikianlah pembahasan tentang cara kredit HP di Aku Laku yang semoga saja bisa meberikan solusi dan penawaran terbaik bagi kebutuhan kredit...
Ketahui cara perhitungan setiap jenis suku bunga dari kredit yang Anda ajukan kepada pihak bank atau lembaga keuangan lainnya dalam artikel berikut ini.
Jika harga HP lebih tinggi dari batas kredit, maka Anda harus membayar DP terlebih dahulu sesuai dengan ketentuan sistem dan pasar aplikasi Akulaku. Seperti itulah cara kredit HP di aplikasi Akulaku tanpa DP dan agar cepat di ACC. Tentu saja ini memberikan kemudahan yang sangat baik.
Cara Mudah Kredit HP di Lazada, Dijamin Legal dan Aman. Setelah mengetahui syarat dan ketentuan serta keuntungan yang bisa didapatkan dengan pakai Lazada Credit, selanjutnya Anda perlu mengetahui caranya. Perlu diketahui, masing-masing bank memiliki ketentuan atau cara pembayaran...
0 Response to "38 cara perhitungan kredit hp"
Post a Comment